Node, Edge and Graph Attributes


The table below describes the attributes used by various Graphviz tools. The table gives the name of the attribute, the graph components (node, edge, etc.) which use the attribute and the type of the attribute (strings representing legal values of that type). Where applicable, the table also gives a default value for the attribute, a minimum allowed setting for numeric attributes, and certain restrictions on the use of the attribute.

Note that attribute names are case-sensitive. This is usually true for attribute values as well, unless noted.

All Graphviz attributes are specified by name-value pairs. Thus, to set the fillcolor of a node abc, one would use
abc [fillcolor = red]
Similarly, to set the arrowhead style of an edge abc -> def, one would use
abc -> def [arrowhead = diamond]
Further details concerning the setting of attributes can be found in the description of the DOT language.

At present, most device-independent units are either inches or points, which we take as 72 points per inch.

Note: Some attributes, such as dir or arrowtail, are ambiguous when used in DOT with an undirected graph since the head and tail of an edge are meaningless. As a convention, the first time an undirected edge appears, the DOT parser will assign the left node as the tail node and the right node as the head. For example, the edge A -- B will have tail A and head B. It is the user's responsibility to handle such edges consistently. If the edge appears later, in the format
B -- A [taillabel = "tail"]
the drawing will attach the tail label to node A. To avoid possible confusion when such attributes are required, the user is encouraged to use a directed graph. If it is important to make the graph appear undirected, this can be done using the dir, arrowtail or arrowhead attributes.

The tools accept standard C representations for int and double types. For the bool type, TRUE values are represented by "true" or "yes" (case-insensitive) and any non-zero integer, and FALSE values by "false" or "no" (case-insensitive) and zero. In addition, there are a variety of specialized types such as arrowType, color, point and rankdir. Legal values for these types are given at the end.

In the Used By field, the characters E, N, G, S and C represent edges, nodes, the root graph, subgraphs and cluster subgraphs, respectively. This field indicates which graph component uses the attribute.

In the Notes field, an annotation of write only indicates that the attribute is used for output, and is not used or read by any of the layout programs.


NameUsed ByTypeDefaultMinimumNotes
Damping Gdouble0.990.0neato only
K GCdouble0.30sfdp, fdp only
URL ENGCescString <none>svg, postscript, map only
_background Gstring<none>
area NCdouble1.0>0patchwork only
arrowhead EarrowType normal
arrowsize Edouble1.00.0
arrowtail EarrowType normal
bb Grect write only
bgcolor GCcolor
colorList
<none>
center Gbool false
charset Gstring"UTF-8"
class ENCGstring""svg only
clusterrank GclusterMode localdot only
color ENCcolor
colorList
black
colorscheme ENCGstring""
comment ENGstring""
compound Gbool falsedot only
concentrate Gbool false
constraint Ebool truedot only
decorate Ebool false
defaultdist Gdouble1+(avg. len)*sqrt(|V|)epsilonneato only
dim Gint22sfdp, fdp, neato only
dimen Gint22sfdp, fdp, neato only
dir EdirType forward(directed)
none(undirected)
diredgeconstraints Gstring
bool
falseneato only
distortion Ndouble0.0-100.0
dpi Gdouble96.0
0.0
svg, bitmap output only
edgeURL EescString ""svg, map only
edgehref EescString ""svg, map only
edgetarget EescString <none>svg, map only
edgetooltip EescString ""svg, cmap only
epsilon Gdouble.0001 * # nodes(mode == KK)
.0001(mode == major)
.01(mode == sgd)
neato only
esep GaddDouble
addPoint
+3not dot
fillcolor NECcolor
colorList
lightgrey(nodes)
black(clusters)
fixedsize Nbool
string
false
fontcolor ENGCcolor black
fontname ENGCstring"Times-Roman"
fontnames Gstring""svg only
fontpath Gstringsystem-dependent
fontsize ENGCdouble14.01.0
forcelabels Gbool true
gradientangle NCGint""
group Nstring""dot only
headURL EescString ""svg, map only
head_lp Epoint write only
headclip Ebool true
headhref EescString ""svg, map only
headlabel ElblString ""
headport EportPos center
headtarget EescString <none>svg, map only
headtooltip EescString ""svg, cmap only
height Ndouble0.50.02
href GCNEescString ""svg, postscript, map only
id GCNEescString ""svg, postscript, map only
image Nstring""
imagepath Gstring""
imagepos Nstring"mc"
imagescale Nbool
string
false
inputscale Gdouble<none>fdp, neato only
label ENGClblString "\&#92;N" (nodes)
"" (otherwise)
labelURL EescString ""svg, map only
label_scheme Gint00sfdp only
labelangle Edouble-25.0-180.0
labeldistance Edouble1.00.0
labelfloat Ebool false
labelfontcolor Ecolor black
labelfontname Estring"Times-Roman"
labelfontsize Edouble14.01.0
labelhref EescString ""svg, map only
labeljust GCstring"c"
labelloc NGCstring"t"(clusters)
"b"(root graphs)
"c"(nodes)
labeltarget EescString <none>svg, map only
labeltooltip EescString ""svg, cmap only
landscape Gbool false
layer ENClayerRange ""
layerlistsep Gstring","
layers GlayerList ""
layerselect GlayerRange ""
layersep Gstring" &#92;t"
layout Gstring""
len Edouble1.0(neato)
0.3(fdp)
fdp, neato only
levels GintMAXINT0.0sfdp only
levelsgap Gdouble0.0neato only
lhead Estring""dot only
lheight GCdoublewrite only
lp EGCpoint write only
ltail Estring""dot only
lwidth GCdoublewrite only
margin NCGdouble
point
<device-dependent>
maxiter Gint100 * # nodes(mode == KK)
200(mode == major)
30(mode == sgd)
600(fdp)
fdp, neato only
mclimit Gdouble1.0dot only
mindist Gdouble1.00.0circo only
minlen Eint10dot only
mode Gstringmajorneato only
model Gstringshortpathneato only
mosek Gbool falseneato only
newrank Gbool falsedot only
nodesep Gdouble0.250.02
nojustify GCNEbool false
normalize Gdouble
bool
falsenot dot
notranslate Gbool falseneato only
nslimit
nslimit1
Gdoubledot only
ordering GNstring""dot only
orientation Ndouble0.0360.0
orientation Gstring""
outputorder GoutputMode breadthfirst
overlap Gstring
bool
truenot dot
overlap_scaling Gdouble-4-1.0e10prism only
overlap_shrink Gbool trueprism only
pack Gbool
int
false
packmode GpackMode node
pad Gdouble
point
0.0555 (4 points)
page Gdouble
point
pagedir Gpagedir BL
pencolor Ccolor black
penwidth CNEdouble1.00.0
peripheries NCintshape default(nodes)
1(clusters)
0
pin Nbool falsefdp, neato only
pos ENpoint
splineType
quadtree GquadType
bool
normalsfdp only
quantum Gdouble0.00.0
rank SrankType dot only
rankdir Grankdir TBdot only
ranksep Gdouble
doubleList
0.5(dot)
1.0(twopi)
0.02twopi, dot only
ratio Gdouble
string
rects Nrect write only
regular Nbool false
remincross Gbool truedot only
repulsiveforce Gdouble1.00.0sfdp only
resolution Gdouble96.0
0.0
svg, bitmap output only
root GNstring
bool
<none>(graphs)
false(nodes)
circo, twopi only
rotate Gint0
rotation Gdouble0sfdp only
samehead Estring""dot only
sametail Estring""dot only
samplepoints Nint8(output)
20(overlap and image maps)
scale Gdouble
point
not dot
searchsize Gint30dot only
sep GaddDouble
addPoint
+4not dot
shape Nshape ellipse
shapefile Nstring""
showboxes ENGint00dot only
sides Nint40
size Gdouble
point
skew Ndouble0.0-100.0
smoothing GsmoothType "none"sfdp only
sortv GCNint00
splines Gbool
string
start GstartType ""fdp, neato only
style ENCGstyle ""
stylesheet Gstring""svg only
tailURL EescString ""svg, map only
tail_lp Epoint write only
tailclip Ebool true
tailhref EescString ""svg, map only
taillabel ElblString ""
tailport EportPos center
tailtarget EescString <none>svg, map only
tailtooltip EescString ""svg, cmap only
target ENGCescString
string
<none>svg, map only
tooltip NECescString ""svg, cmap only
truecolor Gbool bitmap output only
vertices NpointList write only
viewport GviewPort ""
voro_margin Gdouble0.050.0not dot
weight Eint
double
10(dot,twopi)
1(neato,fdp)
width Ndouble0.750.01
xdotversion Gstringxdot only
xlabel ENlblString ""
xlp NEpoint write only
z Ndouble0.0-MAXFLOAT
-1000

Attribute Descriptions

Damping
Factor damping force motions. On each iteration, a nodes movement is limited to this factor of its potential motion. By being less than 1.0, the system tends to ``cool'', thereby preventing cycling.
K
Spring constant used in virtual physical model. It roughly corresponds to an ideal edge length (in inches), in that increasing K tends to increase the distance between nodes. Note that the edge attribute len can be used to override this value for adjacent nodes.
URL
Hyperlinks incorporated into device-dependent output. At present, used in ps2, cmap, i*map and svg formats. For all these formats, URLs can be attached to nodes, edges and clusters. URL attributes can also be attached to the root graph in ps2, cmap and i*map formats. This serves as the base URL for relative URLs in the former, and as the default image map file in the latter.

For svg, cmapx and imap output, the active area for a node is its visible image. For example, an unfilled node with no drawn boundary will only be active on its label. For other output, the active area is its bounding box. The active area for a cluster is its bounding box. For edges, the active areas are small circles where the edge contacts its head and tail nodes. In addition, for svg, cmapx and imap, the active area includes a thin polygon approximating the edge. The circles may overlap the related node, and the edge URL dominates. If the edge has a label, this will also be active. Finally, if the edge has a head or tail label, this will also be active.

Note that, for edges, the attributes headURL, tailURL, labelURL and edgeURL allow control of various parts of an edge. Also note that, if active areas of two edges overlap, it is unspecified which area dominates.

_background
A string in the xdot format specifying an arbitrary background. During rendering, the canvas is first filled as described in the bgcolor attribute. Then, if _background is defined, the graphics operations described in the string are performed on the canvas.
area
Indicates the preferred area for a node or empty cluster when laid out by patchwork.
arrowhead
Style of arrowhead on the head node of an edge. This will only appear if the dir attribute is "forward" or "both". See the limitation.
arrowsize
Multiplicative scale factor for arrowheads.
arrowtail
Style of arrowhead on the tail node of an edge. This will only appear if the dir attribute is "back" or "both". See the limitation.
bb
Bounding box of drawing in points.
bgcolor
When attached to the root graph, this color is used as the background for entire canvas. When a cluster attribute, it is used as the initial background for the cluster. If a cluster has a filled style, the cluster's fillcolor will overlay the background color.

If the value is a colorList, a gradient fill is used. By default, this is a linear fill; setting style=radial will cause a radial fill. At present, only two colors are used. If the second color (after a colon) is missing, the default color is used for it. See also the gradientangle attribute for setting the gradient angle.

For certain output formats, such as PostScript, no fill is done for the root graph unless bgcolor is explicitly set. For bitmap formats, however, the bits need to be initialized to something, so the canvas is filled with white by default. This means that if the bitmap output is included in some other document, all of the bits within the bitmap's bounding box will be set, overwriting whatever color or graphics were already on the page. If this effect is not desired, and you only want to set bits explicitly assigned in drawing the graph, set bgcolor="transparent".

center
If true, the drawing is centered in the output canvas.
charset
Specifies the character encoding used when interpreting string input as a text label. The default value is "UTF-8". The other legal value is "iso-8859-1" or, equivalently, "Latin1". The charset attribute is case-insensitive. Note that if the character encoding used in the input does not match the charset value, the resulting output may be very strange.
class
Classnames to attach to the node, edge, graph, or cluster's SVG element. Combine with stylesheet for styling SVG output using CSS classnames.

Multiple space-separated classes are supported.

  digraph G {
    graph [class="cats"];
  
    subgraph cluster_big {
      graph [class="big_cats"];
  
      "Lion" [class="yellow social"];
      "Snow Leopard" [class="white solitary"];
    };
  }
  
clusterrank
Mode used for handling clusters. If clusterrank is "local", a subgraph whose name begins with "cluster" is given special treatment. The subgraph is laid out separately, and then integrated as a unit into its parent graph, with a bounding rectangle drawn about it. If the cluster has a label parameter, this label is displayed within the rectangle. Note also that there can be clusters within clusters. At present, the modes "global" and "none" appear to be identical, both turning off the special cluster processing.
color
Basic drawing color for graphics, not text. For the latter, use the fontcolor attribute.

For edges, the value can either be a single color or a colorList. In the latter case, if colorList has no fractions, the edge is drawn using parallel splines or lines, one for each color in the list, in the order given. The head arrow, if any, is drawn using the first color in the list, and the tail arrow, if any, the second color. This supports the common case of drawing opposing edges, but using parallel splines instead of separately routed multiedges. If any fraction is used, the colors are drawn in series, with each color being given roughly its specified fraction of the edge. For example, the graph

  digraph G {
    a -> b [dir=both color="red:blue"]
    c -> d [dir=none color="green:red;0.25:blue"]
  }
  
yields
colorscheme
This attribute specifies a color scheme namespace. If defined, it specifies the context for interpreting color names. In particular, if a color value has form "xxx" or "//xxx", then the color xxx will be evaluated according to the current color scheme. If no color scheme is set, the standard X11 naming is used. For example, if colorscheme=bugn9, then color=7 is interpreted as "/bugn9/7".
comment
Comments are inserted into output. Device-dependent
compound
If true, allow edges between clusters. (See lhead and ltail below.)
concentrate
If true, use edge concentrators. This merges multiedges into a single edge and causes partially parallel edges to share part of their paths. The latter feature is not yet available outside of dot.
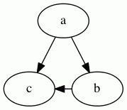
constraint
If false, the edge is not used in ranking the nodes. For example, in the graph
  digraph G {
    a -> c;
    a -> b;
    b -> c [constraint=false];
  }
  
the edge b -> c does not add a constraint during rank assignment, so the only constraints are that a be above b and c, yielding the graph:
decorate
If true, attach edge label to edge by a 2-segment polyline, underlining the label, then going to the closest point of spline.
defaultdist
This specifies the distance between nodes in separate connected components. If set too small, connected components may overlap. Only applicable if pack=false.
dim
Set the number of dimensions used for the layout. The maximum value allowed is 10.
dimen
Set the number of dimensions used for rendering. The maximum value allowed is 10. If both dimen and dim are set, the latter specifies the dimension used for layout, and the former for rendering. If only dimen is set, this is used for both layout and rendering dimensions.

Note that, at present, all aspects of rendering are 2D. This includes the shape and size of nodes, overlap removal, and edge routing. Thus, for dimen > 2, the only valid information is the pos attribute of the nodes. All other coordinates will be 2D and, at best, will reflect a projection of a higher-dimensional point onto the plane.

dir
Set edge type for drawing arrowheads. This indicates which ends of the edge should be decorated with an arrowhead. The actual style of the arrowhead can be specified using the arrowhead and arrowtail attributes. See limitation.
diredgeconstraints
Only valid when mode="ipsep". If true, constraints are generated for each edge in the largest (heuristic) directed acyclic subgraph such that the edge must point downwards. If "hier", generates level constraints similar to those used with mode="hier". The main difference is that, in the latter case, only these constraints are involved, so a faster solver can be used.
distortion
Distortion factor for shape=polygon. Positive values cause top part to be larger than bottom; negative values do the opposite.
dpi
This specifies the expected number of pixels per inch on a display device. For bitmap output, this guarantees that text rendering will be done more accurately, both in size and in placement. For SVG output, it is used to guarantee that the dimensions in the output correspond to the correct number of points or inches.
edgeURL
If edgeURL is defined, this is the link used for the non-label parts of an edge. This value overrides any URL defined for the edge. Also, this value is used near the head or tail node unless overridden by a headURL or tailURL value, respectively. See limitation.
edgehref
Synonym for edgeURL.
edgetarget
If the edge has a URL or edgeURL attribute, this attribute determines which window of the browser is used for the URL attached to the non-label part of the edge. Setting it to "_graphviz" will open a new window if it doesn't already exist, or reuse it if it does. If undefined, the value of the target is used.
edgetooltip
Tooltip annotation attached to the non-label part of an edge. This is used only if the edge has a URL or edgeURL attribute.
epsilon
Terminating condition. If the length squared of all energy gradients are < epsilon, the algorithm stops.
esep
Margin used around polygons for purposes of spline edge routing. The interpretation is the same as given for sep. This should normally be strictly less than sep.
fillcolor
Color used to fill the background of a node or cluster assuming style=filled, or a filled arrowhead. If fillcolor is not defined, color is used. (For clusters, if color is not defined, bgcolor is used.) If this is not defined, the default is used, except for shape=point or when the output format is MIF, which use black by default.

If the value is a colorList, a gradient fill is used. By default, this is a linear fill; setting style=radial will cause a radial fill. At present, only two colors are used. If the second color (after a colon) is missing, the default color is used for it. See also the gradientangle attribute for setting the gradient angle.

Note that a cluster inherits the root graph's attributes if defined. Thus, if the root graph has defined a fillcolor, this will override a color or bgcolor attribute set for the cluster.

fixedsize
If false, the size of a node is determined by smallest width and height needed to contain its label and image, if any, with a margin specified by the margin attribute. The width and height must also be at least as large as the sizes specified by the width and height attributes, which specify the minimum values for these parameters.

If true, the node size is specified by the values of the width and height attributes only and is not expanded to contain the text label. There will be a warning if the label (with margin) cannot fit within these limits.

If the fixedsize attribute is set to shape, the width and height attributes also determine the size of the node shape, but the label can be much larger. Both the label and shape sizes are used when avoiding node overlap, but all edges to the node ignore the label and only contact the node shape. No warning is given if the label is too large.

fontcolor
Color used for text.
fontname
Font used for text. This very much depends on the output format and, for non-bitmap output such as PostScript or SVG, the availability of the font when the graph is displayed or printed. As such, it is best to rely on font faces that are generally available, such as Times-Roman, Helvetica or Courier.

How font names are resolved also depends on the underlying library that handles font name resolution. If Graphviz was built using the fontconfig library, the latter library will be used to search for the font. See the commands fc-list, fc-match and the other fontconfig commands for how names are resolved and which fonts are available. Other systems may provide their own font package, such as Quartz for OS X.

Note that various font attributes, such as weight and slant, can be built into the font name. Unfortunately, the syntax varies depending on which font system is dominant. Thus, using fontname="times bold italic" will produce a bold, slanted Times font using Pango, the usual main font library. Alternatively, fontname="times:italic" will produce a slanted Times font from fontconfig, while fontname="times-bold" will resolve to a bold Times using Quartz. You will need to ascertain which package is used by your Graphviz system and refer to the relevant documentation.

If Graphviz is not built with a high-level font library, fontname will be considered the name of a Type 1 or True Type font file. If you specify fontname=schlbk, the tool will look for a file named schlbk.ttf or schlbk.pfa or schlbk.pfb in one of the directories specified by the fontpath attribute. The lookup does support various aliases for the common fonts.

fontnames
Allows user control of how basic fontnames are represented in SVG output. If fontnames is undefined or "svg", the output will try to use known SVG fontnames. For example, the default font "Times-Roman" will be mapped to the basic SVG font "serif". This can be overridden by setting fontnames to "ps" or "gd". In the former case, known PostScript font names such as "Times-Roman" will be used in the output. In the latter case, the fontconfig font conventions are used. Thus, "Times-Roman" would be treated as "Nimbus Roman No9 L". These last two options are useful with SVG viewers that support these richer fontname spaces.
fontpath
Directory list used by libgd to search for bitmap fonts if Graphviz was not built with the fontconfig library. If fontpath is not set, the environment variable DOTFONTPATH is checked. If that is not set, GDFONTPATH is checked. If not set, libgd uses its compiled-in font path. Note that fontpath is an attribute of the root graph.
fontsize
Font size, in points, used for text.
forcelabels
If true, all xlabel attributes are placed, even if there is some overlap with nodes or other labels.
gradientangle
If a gradient fill is being used, this determines the angle of the fill. For linear fills, the colors transform along a line specified by the angle and the center of the object. For radial fills, a value of zero causes the colors to transform radially from the center; for non-zero values, the colors transform from a point near the object's periphery as specified by the value.

If unset, the default angle is 0.

group
If the end points of an edge belong to the same group, i.e., have the same group attribute, parameters are set to avoid crossings and keep the edges straight.
headURL
If headURL is defined, it is output as part of the head label of the edge. Also, this value is used near the head node, overriding any URL value. See limitation.
head_lp
Position of an edge's head label, in points. The position indicates the center of the label.
headclip
If true, the head of an edge is clipped to the boundary of the head node; otherwise, the end of the edge goes to the center of the node, or the center of a port, if applicable.
headhref
Synonym for headURL.
headlabel
Text label to be placed near head of edge. See limitation.
headport
Indicates where on the head node to attach the head of the edge. In the default case, the edge is aimed towards the center of the node, and then clipped at the node boundary. See limitation.
headtarget
If the edge has a headURL, this attribute determines which window of the browser is used for the URL. Setting it to "_graphviz" will open a new window if it doesn't already exist, or reuse it if it does. If undefined, the value of the target is used.
headtooltip
Tooltip annotation attached to the head of an edge. This is used only if the edge has a headURL attribute.
height
Height of node, in inches. This is taken as the initial, minimum height of the node. If fixedsize is true, this will be the final height of the node. Otherwise, if the node label requires more height to fit, the node's height will be increased to contain the label. Note also that, if the output format is dot, the value given to height will be the final value.

If the node shape is regular, the width and height are made identical. In this case, if either the width or the height is set explicitly, that value is used. In this case, if both the width or the height are set explicitly, the maximum of the two values is used. If neither is set explicitly, the minimum of the two default values is used.

href
Synonym for URL.
id
Allows the graph author to provide an id for graph objects which is to be included in the output. Normal "\N", "\E", "\G" substitutions are applied. If provided, it is the responsibility of the provider to keep its values sufficiently unique for its intended downstream use. Note, in particular, that "\E" does not provide a unique id for multi-edges. If no id attribute is provided, then a unique internal id is used. However, this value is unpredictable by the graph writer. An externally provided id is not used internally.

If the graph provides an id attribute, this will be used as a prefix for internally generated attributes. By making these distinct, the user can include multiple image maps in the same document.

image
Gives the name of a file containing an image to be displayed inside a node. The image file must be in one of the recognized formats, typically JPEG, PNG, GIF, BMP, SVG or Postscript, and be able to be converted into the desired output format.

The file must contain the image size information. This is usually trivially true for the bitmap formats. For PostScript, the file must contain a line starting with %%BoundingBox: followed by four integers specifying the lower left x and y coordinates and the upper right x and y coordinates of the bounding box for the image, the coordinates being in points. An SVG image file must contain width and height attributes, typically as part of the svg element. The values for these should have the form of a floating point number, followed by optional units, e.g., width="76pt". Recognized units are in, px, pc, pt, cm and mm for inches, pixels, picas, points, centimeters and millimeters, respectively. The default unit is points.

Unlike with the shapefile attribute, the image is treated as node content rather than the entire node. In particular, an image can be contained in a node of any shape, not just a rectangle.

imagepath
Specifies a list of directories in which to look for image files as specified by the image attribute or using the IMG element in HTML-like labels. The string should be a list of (absolute or relative) pathnames, each separated by a semicolon (for Windows) or a colon (all other OS). The first directory in which a file of the given name is found will be used to load the image. If imagepath is not set, relative pathnames for the image file will be interpreted with respect to the current working directory.
imagepos
Attribute controlling how an image is positioned within its containing node. This only has an effect when the image is smaller than the containing node. The default is to be centered both horizontally and vertically. Valid values:
tlTop Left
tcTop Centered
trTop Right
mlMiddle Left
mcMiddle Centered (the default)
mrMiddle Right
blBottom Left
bcBottom Centered
brBottom Right
imagescale
Attribute controlling how an image fills its containing node. In general, the image is given its natural size, (cf. dpi), and the node size is made large enough to contain its image, its label, its margin, and its peripheries. Its width and height will also be at least as large as its minimum width and height. If, however, fixedsize=true, the width and height attributes specify the exact size of the node.

During rendering, in the default case (imagescale=false), the image retains its natural size. If imagescale=true, the image is uniformly scaled (i.e., its aspect ratio is preserved) to fit inside the node. At least one dimension of the image will be as large as possible given the size of the node. When imagescale=width, the width of the image is scaled to fill the node width. The corresponding property holds when imagescale=height. When imagescale=both, both the height and the width are scaled separately to fill the node.

In all cases, if a dimension of the image is larger than the corresponding dimension of the node, that dimension of the image is scaled down to fit the node. As with the case of expansion, if imagescale=true, width and height are scaled uniformly.

inputscale
For layout algorithms that support initial input positions (specified by the pos attribute), this attribute can be used to appropriately scale the values. By default, fdp and neato interpret the x and y values of pos as being in inches. (NOTE: neato -n(2) treats the coordinates as being in points, being the unit used by the layout algorithms for the pos attribute.) Thus, if the graph has pos attributes in points, one should set inputscale=72. This can also be set on the command line using the -s flag flag.

If not set, no scaling is done and the units on input are treated as inches. A value of 0 is equivalent to inputscale=72.

label
Text label attached to objects. If a node's shape is record, then the label can have a special format which describes the record layout.

Note that a node's default label is "\N", so the node's name or ID becomes its label. Technically, a node's name can be an HTML string but this will not mean that the node's label will be interpreted as an HTML-like label. This is because the node's actual label is an ordinary string, which will be replaced by the raw bytes stored in the node's name. To get an HTML-like label, the label attribute value itself must be an HTML string.

labelURL
If labelURL is defined, this is the link used for the label of an edge. This value overrides any URL defined for the edge.
label_scheme
The value indicates whether to treat a node whose name has the form |edgelabel|* as a special node representing an edge label. The default (0) produces no effect. If the attribute is set to 1, sfdp uses a penalty-based method to make that kind of node close to the center of its neighbor. With a value of 2, sfdp uses a penalty-based method to make that kind of node close to the old center of its neighbor. Finally, a value of 3 invokes a two-step process of overlap removal and straightening.
labelangle
This, along with labeldistance, determine where the headlabel (taillabel) are placed with respect to the head (tail) in polar coordinates. The origin in the coordinate system is the point where the edge touches the node. The ray of 0 degrees goes from the origin back along the edge, parallel to the edge at the origin.

The angle, in degrees, specifies the rotation from the 0 degree ray, with positive angles moving counterclockwise and negative angles moving clockwise.

labeldistance
Multiplicative scaling factor adjusting the distance that the headlabel(taillabel) is from the head(tail) node. The default distance is 10 points. See labelangle for more details.
labelfloat
If true, allows edge labels to be less constrained in position. In particular, it may appear on top of other edges.
labelfontcolor
Color used for headlabel and taillabel. If not set, defaults to edge's fontcolor.
labelfontname
Font used for headlabel and taillabel. If not set, defaults to edge's fontname.
labelfontsize
Font size, in points, used for headlabel and taillabel. If not set, defaults to edge's fontsize.
labelhref
Synonym for labelURL.
labeljust
Justification for cluster labels. If "r", the label is right-justified within bounding rectangle; if "l", left-justified; else the label is centered. Note that a subgraph inherits attributes from its parent. Thus, if the root graph sets labeljust to "l", the subgraph inherits this value.
labelloc
Vertical placement of labels for nodes, root graphs and clusters.

For graphs and clusters, only "t" and "b" are allowed, corresponding to placement at the top and bottom, respectively. By default, root graph labels go on the bottom and cluster labels go on the top. Note that a subgraph inherits attributes from its parent. Thus, if the root graph sets labelloc to "b", the subgraph inherits this value.

For nodes, this attribute is used only when the height of the node is larger than the height of its label. If labelloc is set to "t", "c", or "b", the label is aligned with the top, centered, or aligned with the bottom of the node, respectively. In the default case, the label is vertically centered.

labeltarget
If the edge has a URL or labelURL attribute, this attribute determines which window of the browser is used for the URL attached to the label. Setting it to "_graphviz" will open a new window if it doesn't already exist, or reuse it if it does. If undefined, the value of the target is used.
labeltooltip
Tooltip annotation attached to label of an edge. This is used only if the edge has a URL or labelURL attribute.
landscape
If true, the graph is rendered in landscape mode. Synonymous with rotate=90 or orientation=landscape.
layer
Specifies layers in which the node, edge or cluster is present.
layerlistsep
Specifies the separator characters used to split an attribute of type layerRange into a list of ranges.
layers
Specifies a linearly ordered list of layer names attached to the graph The graph is then output in separate layers. Only those components belonging to the current output layer appear. For more information, see the page How to use drawing layers (overlays).
layerselect
Selects a list of layers to be emitted.
layersep
Specifies the separator characters used to split the layers attribute into a list of layer names.
layout
Specifies the name of the layout algorithm to use, such as "dot" or "neato". Normally, graphs should be kept independent of a type of layout. In some cases, however, it can be convenient to embed the type of layout desired within the graph. For example, a graph containing position information from a layout might want to record what the associated layout algorithm was.

This attribute takes precedence over the -K flag or the actual command name used.

len
Preferred edge length, in inches.
levels
Number of levels allowed in the multilevel scheme.
levelsgap
Specifies strictness of level constraints in neato when mode="ipsep" or "hier". Larger positive values mean stricter constraints, which demand more separation between levels. On the other hand, negative values will relax the constraints by allowing some overlap between the levels.
lhead
Logical head of an edge. When compound is true, if lhead is defined and is the name of a cluster containing the real head, the edge is clipped to the boundary of the cluster. See limitation.
lheight
Height of graph or cluster label, in inches.
lp
Label position, in points. The position indicates the center of the label.
ltail
Logical tail of an edge. When compound is true, if ltail is defined and is the name of a cluster containing the real tail, the edge is clipped to the boundary of the cluster. See limitation.
lwidth
Width of graph or cluster label, in inches.
margin
For graphs, this sets x and y margins of canvas, in inches. If the margin is a single double, both margins are set equal to the given value.

Note that the margin is not part of the drawing but just empty space left around the drawing. It basically corresponds to a translation of drawing, as would be necessary to center a drawing on a page. Nothing is actually drawn in the margin. To actually extend the background of a drawing, see the pad attribute.

For clusters, this specifies the space between the nodes in the cluster and the cluster bounding box. By default, this is 8 points.

For nodes, this attribute specifies space left around the node's label. By default, the value is 0.11,0.055.

maxiter
Sets the number of iterations used.
mclimit
Multiplicative scale factor used to alter the MinQuit (default = 8) and MaxIter (default = 24) parameters used during crossing minimization. These correspond to the number of tries without improvement before quitting and the maximum number of iterations in each pass.
mindist
Specifies the minimum separation between all nodes.
minlen
Minimum edge length (rank difference between head and tail).
mode
Technique for optimizing the layout. For neato, if mode is "major", neato uses stress majorization. If mode is "KK", neato uses a version of the gradient descent method. The only advantage to the latter technique is that it is sometimes appreciably faster for small (number of nodes < 100) graphs. A significant disadvantage is that it may cycle. If mode is "sgd", neato uses a version of the stochastic gradient descent method. The advantage of sgd is faster and more reliable convergence than both the previous methods, while the disadvantage is that it runs in a fixed number of iterations and may require larger values of "maxiter" in some graphs.

There are two experimental modes in neato, "hier", which adds a top-down directionality similar to the layout used in dot, and "ipsep", which allows the graph to specify minimum vertical and horizontal distances between nodes. (See the sep attribute.)

For sfdp, the default mode is "spring", which corresponds to using a spring-electrical model. Setting mode to "maxent" causes a similar model to be run but one that also takes into account edge lengths specified by the "len" attribute.

model
This value specifies how the distance matrix is computed for the input graph. The distance matrix specifies the ideal distance between every pair of nodes. neato attemps to find a layout which best achieves these distances. By default, it uses the length of the shortest path, where the length of each edge is given by its len attribute. If model is "circuit", neato uses the circuit resistance model to compute the distances. This tends to emphasize clusters. If model is "subset", neato uses the subset model. This sets the edge length to be the number of nodes that are neighbors of exactly one of the end points, and then calculates the shortest paths. This helps to separate nodes with high degree.

For more control of distances, one can use model=mds. In this case, the len of an edge is used as the ideal distance between its vertices. A shortest path calculation is only used for pairs of nodes not connected by an edge. Thus, by supplying a complete graph, the input can specify all of the relevant distances.

mosek
If Graphviz is built with MOSEK defined, mode=ipsep and mosek=true, the Mosek software (www.mosek.com) is use to solve the ipsep constraints.
newrank
The original ranking algorithm in dot is recursive on clusters. This can produce fewer ranks and a more compact layout, but sometimes at the cost of a head node being place on a higher rank than the tail node. It also assumes that a node is not constrained in separate, incompatible subgraphs. For example, a node cannot be in a cluster and also be constrained by rank=same with a node not in the cluster.

If newrank=true, the ranking algorithm does a single global ranking, ignoring clusters. This allows nodes to be subject to multiple constraints. Rank constraints will usually take precedence over edge constraints.

nodesep
In dot, this specifies the minimum space between two adjacent nodes in the same rank, in inches.

For other layouts, this affects the spacing between loops on a single node, or multiedges between a pair of nodes.

nojustify
By default, the justification of multi-line labels is done within the largest context that makes sense. Thus, in the label of a polygonal node, a left-justified line will align with the left side of the node (shifted by the prescribed margin). In record nodes, left-justified line will line up with the left side of the enclosing column of fields. If nojustify is "true", multi-line labels will be justified in the context of itself. For example, if the attribute is set, the first label line is long, and the second is shorter and left-justified, the second will align with the left-most character in the first line, regardless of how large the node might be.
normalize
If set, normalize coordinates of final layout so that the first point is at the origin, and then rotate the layout so that the angle of the first edge is specified by the value of normalize in degrees. If normalize is not a number, it is evaluated as a bool, with true corresponding to 0 degrees. NOTE: Since the attribute is evaluated first as a number, 0 and 1 cannot be used for false and true.
notranslate
By default, the final layout is translated so that the lower-left corner of the bounding box is at the origin. This can be annoying if some nodes are pinned or if the user runs neato -n. To avoid this translation, set notranslate to true.
nslimit ,
nslimit1
Used to set number of iterations in network simplex applications. nslimit is used in computing node x coordinates, nslimit1 for ranking nodes. If defined, # iterations = nslimit(1) * # nodes; otherwise, # iterations = MAXINT.
ordering
If the value of the attribute is "out", then the outedges of a node, that is, edges with the node as its tail node, must appear left-to-right in the same order in which they are defined in the input. If the value of the attribute is "in", then the inedges of a node must appear left-to-right in the same order in which they are defined in the input. If defined as a graph or subgraph attribute, the value is applied to all nodes in the graph or subgraph. Note that the graph attribute takes precedence over the node attribute.
orientation
Angle, in degrees, used to rotate polygon node shapes. For any number of polygon sides, 0 degrees rotation results in a flat base.
orientation
If "[lL]*", set graph orientation to landscape Used only if rotate is not defined.
outputorder
Specify order in which nodes and edges are drawn.
overlap
Determines if and how node overlaps should be removed. Nodes are first enlarged using the sep attribute. If "true" , overlaps are retained. If the value is "scale", overlaps are removed by uniformly scaling in x and y. If the value converts to "false", and it is available, Prism, a proximity graph-based algorithm, is used to remove node overlaps. This can also be invoked explicitly with "overlap=prism". This technique starts with a small scaling up, controlled by the overlap_scaling attribute, which can remove a significant portion of the overlap. The prism option also accepts an optional non-negative integer suffix. This can be used to control the number of attempts made at overlap removal. By default, overlap="prism" is equivalent to overlap="prism1000". Setting overlap="prism0" causes only the scaling phase to be run.

If Prism is not available, or the version of Graphviz is earlier than 2.28, "overlap=false" uses a Voronoi-based technique. This can always be invoked explicitly with "overlap=voronoi".

If the value is "scalexy", x and y are separately scaled to remove overlaps.

If the value is "compress", the layout will be scaled down as much as possible without introducing any overlaps, obviously assuming there are none to begin with.

N.B.The remaining allowed values of overlap correspond to algorithms which, at present, can produce bad aspect ratios. In addition, we deprecate the use of the "ortho*" and "portho*".

If the value is "vpsc", overlap removal is done as a quadratic optimization to minimize node displacement while removing node overlaps.

If the value is "orthoxy" or "orthoyx", overlaps are moved by optimizing two constraint problems, one for the x axis and one for the y. The suffix indicates which axis is processed first. If the value is "ortho", the technique is similar to "orthoxy" except a heuristic is used to reduce the bias between the two passes. If the value is "ortho_yx", the technique is the same as "ortho", except the roles of x and y are reversed. The values "portho", "porthoxy", "porthoxy", and "portho_yx" are similar to the previous four, except only pseudo-orthogonal ordering is enforced.

If the layout is done by neato with mode="ipsep", then one can use overlap=ipsep. In this case, the overlap removal constraints are incorporated into the layout algorithm itself. N.B. At present, this only supports one level of clustering.

Except for fdp and sfdp, the layouts assume overlap="true" as the default. Fdp first uses a number of passes using a built-in, force-directed technique to try to remove overlaps. Thus, fdp accepts overlap with an integer prefix followed by a colon, specifying the number of tries. If there is no prefix, no initial tries will be performed. If there is nothing following a colon, none of the above methods will be attempted. By default, fdp uses overlap="9:prism". Note that overlap="true", overlap="0:true" and overlap="0:" all turn off all overlap removal.

By default, sfdp uses overlap="prism0".

Except for the Voronoi and prism methods, all of these transforms preserve the orthogonal ordering of the original layout. That is, if the x coordinates of two nodes are originally the same, they will remain the same, and if the x coordinate of one node is originally less than the x coordinate of another, this relation will still hold in the transformed layout. The similar properties hold for the y coordinates. This is not quite true for the "porth*" cases. For these, orthogonal ordering is only preserved among nodes related by an edge.

overlap_scaling
When overlap=prism, the layout is scaled by this factor, thereby removing a fair amount of node overlap, and making node overlap removal faster and better able to retain the graph's shape.

If overlap_scaling is negative, the layout is scaled by -1*overlap_scaling times the average label size. If overlap_scaling is positive, the layout is scaled by overlap_scaling. If overlap_scaling is zero, no scaling is done.

overlap_shrink
If true, the overlap removal algorithm will perform a compression pass to reduce the size of the layout.
pack
This is true if the value of pack is "true" (case-insensitive) or a non-negative integer. If true, each connected component of the graph is laid out separately, and then the graphs are packed together. If pack has an integral value, this is used as the size, in points, of a margin around each part; otherwise, a default margin of 8 is used. If pack is interpreted as false, the entire graph is laid out together. The granularity and method of packing is influenced by the packmode attribute.

For layouts which always do packing, such a twopi, the pack attribute is just used to set the margin.

packmode
This indicates how connected components should be packed (cf. packMode). Note that defining packmode will automatically turn on packing as though one had set pack=true.
pad
The pad attribute specifies how much, in inches, to extend the drawing area around the minimal area needed to draw the graph. If the pad is a single double, both the x and y pad values are set equal to the given value. This area is part of the drawing and will be filled with the background color, if appropriate.

Normally, a small pad is used for aesthetic reasons, especially when a background color is used, to avoid having nodes and edges abutting the boundary of the drawn region.

page
Width and height of output pages, in inches. If only a single value is given, this is used for both the width and height.

If this is set and is smaller than the size of the layout, a rectangular array of pages of the specified page size is overlaid on the layout, with origins aligned in the lower-left corner, thereby partitioning the layout into pages. The pages are then produced one at a time, in pagedir order.

At present, this only works for PostScript output. For other types of output, one should use another tool to split the output into multiple output files. Or use the viewport to generate multiple files.

pagedir
If the page attribute is set and applicable, this attribute specifies the order in which the pages are emitted. This is limited to one of the 8 row or column major orders.
pencolor
Color used to draw the bounding box around a cluster. If pencolor is not defined, color is used. If this is not defined, bgcolor is used. If this is not defined, the default is used.

Note that a cluster inherits the root graph's attributes if defined. Thus, if the root graph has defined a pencolor, this will override a color or bgcolor attribute set for the cluster.

penwidth
Specifies the width of the pen, in points, used to draw lines and curves, including the boundaries of edges and clusters. The value is inherited by subclusters. It has no effect on text.

Previous to 31 January 2008, the effect of penwidth=W was achieved by including setlinewidth(W) as part of a style specification. If both are used, penwidth will be used.

peripheries
Set number of peripheries used in polygonal shapes and cluster boundaries. Note that user-defined shapes are treated as a form of box shape, so the default peripheries value is 1 and the user-defined shape will be drawn in a bounding rectangle. Setting peripheries=0 will turn this off. Also, 1 is the maximum peripheries value for clusters.
pin
If true and the node has a pos attribute on input, neato or fdp prevents the node from moving from the input position. This property can also be specified in the pos attribute itself (cf. the point type).

Note: Due to an artifact of the implementation, previous to 27 Feb 2014, final coordinates are translated to the origin. Thus, if you look at the output coordinates given in the (x)dot or plain format, pinned nodes will not have the same output coordinates as were given on input. If this is important, a simple workaround is to maintain the coordinates of a pinned node. The vector difference between the old and new coordinates will give the translation, which can then be subtracted from all of the appropriate coordinates.

After 27 Feb 2014, this translation can be avoided in neato by setting the notranslate to TRUE. However, if the graph specifies node overlap removal or a change in aspect ratio, node coordinates may still change.

pos
Position of node, or spline control points. For nodes, the position indicates the center of the node. On output, the coordinates are in points.

In neato and fdp, pos can be used to set the initial position of a node. By default, the coordinates are assumed to be in inches. However, the -s command line flag can be used to specify different units. As the output coordinates are in points, feeding the output of a graph laid out by a Graphviz program into neato or fdp will almost always require the -s flag.

When the -n command line flag is used with neato, it is assumed the positions have been set by one of the layout programs, and are therefore in points. Thus, neato -n can accept input correctly without requiring a -s flag and, in fact, ignores any such flag.

quadtree
Quadtree scheme to use.

A TRUE bool value corresponds to "normal"; a FALSE bool value corresponds to "none". As a slight exception to the normal interpretation of bool, a value of "2" corresponds to "fast".

quantum
If quantum > 0.0, node label dimensions will be rounded to integral multiples of the quantum.
rank
Rank constraints on the nodes in a subgraph. If rank="same", all nodes are placed on the same rank. If rank="min", all nodes are placed on the minimum rank. If rank="source", all nodes are placed on the minimum rank, and the only nodes on the minimum rank belong to some subgraph whose rank attribute is "source" or "min". Analogous criteria hold for rank="max" and rank="sink". (Note: the minimum rank is topmost or leftmost, and the maximum rank is bottommost or rightmost.)
rankdir
Sets direction of graph layout. For example, if rankdir="LR", and barring cycles, an edge T -> H; will go from left to right. By default, graphs are laid out from top to bottom.

This attribute also has a side-effect in determining how record nodes are interpreted. See record shapes.

ranksep
In dot, this gives the desired rank separation, in inches. This is the minimum vertical distance between the bottom of the nodes in one rank and the tops of nodes in the next. If the value contains "equally", the centers of all ranks are spaced equally apart. Note that both settings are possible, e.g., ranksep = "1.2 equally".

In twopi, this attribute specifies the radial separation of concentric circles. For twopi, ranksep can also be a list of doubles. The first double specifies the radius of the inner circle; the second double specifies the increase in radius from the first circle to the second; etc. If there are more circles than numbers, the last number is used as the increment for the remainder.

ratio
Sets the aspect ratio (drawing height/drawing width) for the drawing. Note that this is adjusted before the size attribute constraints are enforced. In addition, the calculations usually ignore the node sizes, so the final drawing size may only approximate what is desired.

If ratio is numeric, it is taken as the desired aspect ratio. Then, if the actual aspect ratio is less than the desired ratio, the drawing height is scaled up to achieve the desired ratio; if the actual ratio is greater than that desired ratio, the drawing width is scaled up.

If ratio = "fill" and the size attribute is set, node positions are scaled, separately in both x and y, so that the final drawing exactly fills the specified size. If both size values exceed the width and height of the drawing, then both coordinate values of each node are scaled up accordingly. However, if either size dimension is smaller than the corresponding dimension in the drawing, one dimension is scaled up so that the final drawing has the same aspect ratio as specified by size. Then, when rendered, the layout will be scaled down uniformly in both dimensions to fit the given size, which may cause nodes and text to shrink as well. This may not be what the user wants, but it avoids the hard problem of how to reposition the nodes in an acceptable fashion to reduce the drawing size.

If ratio = "compress" and the size attribute is set, dot attempts to compress the initial layout to fit in the given size. This achieves a tighter packing of nodes but reduces the balance and symmetry. This feature only works in dot.

If ratio = "expand", the size attribute is set, and both the width and the height of the graph are less than the value in size, node positions are scaled uniformly until at least one dimension fits size exactly. Note that this is distinct from using size as the desired size, as here the drawing is expanded before edges are generated and all node and text sizes remain unchanged.

If ratio = "auto", the page attribute is set and the graph cannot be drawn on a single page, then size is set to an ``ideal'' value. In particular, the size in a given dimension will be the smallest integral multiple of the page size in that dimension which is at least half the current size. The two dimensions are then scaled independently to the new size. This feature only works in dot.

rects
Rectangles for fields of records, in points.
regular
If true, force polygon to be regular, i.e., the vertices of the polygon will lie on a circle whose center is the center of the node.
remincross
If true and there are multiple clusters, run crossing minimization a second time.
repulsiveforce
The power of the repulsive force used in an extended Fruchterman-Reingold force directed model. Values larger than 1 tend to reduce the warping effect at the expense of less clustering.
resolution
This is a synonym for the dpi attribute.
root
This specifies nodes to be used as the center of the layout and the root of the generated spanning tree. As a graph attribute, this gives the name of the node. As a node attribute, it specifies that the node should be used as a central node. In twopi, this will actually be the central node. In circo, the block containing the node will be central in the drawing of its connected component. If not defined, twopi will pick a most central node, and circo will pick a random node.

If the root attribute is defined as the empty string, twopi will reset it to name of the node picked as the root node.

For twopi, it is possible to have multiple roots, presumably one for each component. If more than one node in a component is marked as the root, twopi will pick one.

rotate
If 90, set drawing orientation to landscape.
rotation
Causes the final layout to be rotated counter-clockwise by the specified number of degrees.
samehead
Edges with the same head and the same samehead value are aimed at the same point on the head. This has no effect on loops. Each node can have at most 5 unique samehead values. See limitation.
sametail
Edges with the same tail and the same sametail value are aimed at the same point on the tail. This has no effect on loops. Each node can have at most 5 unique sametail values. See limitation.
samplepoints
If the input graph defines the vertices attribute, and output is dot or xdot, this gives the number of points used for a node whose shape is a circle or ellipse. It plays the same role in neato, when adjusting the layout to avoid overlapping nodes, and in image maps.
scale
If set, after the initial layout, the layout is scaled by the given factors. If only a single number is given, this is used for both factors.
searchsize
During network simplex, maximum number of edges with negative cut values to search when looking for one with minimum cut value.
sep
Specifies margin to leave around nodes when removing node overlap. This guarantees a minimal non-zero distance between nodes.

If the attribute begins with a plus sign '+', an additive margin is specified. That is, "+w,h" causes the node's bounding box to be increased by w points on the left and right sides, and by h points on the top and bottom. Without a plus sign, the node is scaled by 1 + w in the x coordinate and 1 + h in the y coordinate.

If only a single number is given, this is used for both dimensions.

If unset but esep is defined, the sep values will be set to the esep values divided by 0.8. If esep is unset, the default value is used.

shape
Set the shape of a node.
shapefile
(Deprecated) If defined, shapefile specifies a file containing user-supplied node content. The shape of the node is set to box. The image in the shapefile must be rectangular. The image formats supported as well as the precise semantics of how the file is used depends on the output format. For further details, see Image Formats and External PostScript files.

There is one exception to this usage. If shape is set to "epsf", shapefile gives a filename containing a definition of the node in PostScript. The graphics defined must be contain all of the node content, including any desired boundaries. For further details, see External PostScript files.

showboxes
Print guide boxes in PostScript at the beginning of routesplines if 1, or at the end if 2. (Debugging, TB mode only!)
sides
Number of sides if shape=polygon.
size
Maximum width and height of drawing, in inches. If only a single number is given, this is used for both the width and the height.

If defined and the drawing is larger than the given size, the drawing is uniformly scaled down so that it fits within the given size.

If size ends in an exclamation point (!), then it is taken to be the desired size. In this case, if both dimensions of the drawing are less than size, the drawing is scaled up uniformly until at least one dimension equals its dimension in size.

Note that there is some interaction between the size and ratio attributes.

skew
Skew factor for shape=polygon. Positive values skew top of polygon to right; negative to left.
smoothing
Specifies a post-processing step used to smooth out an uneven distribution of nodes.
sortv
If packmode indicates an array packing, this attribute specifies an insertion order among the components, with smaller values inserted first.
splines
Controls how, and if, edges are represented. If true, edges are drawn as splines routed around nodes; if false, edges are drawn as line segments. If set to none or "", no edges are drawn at all.

(1 March 2007) The values line and spline can be used as synonyms for false and true, respectively. In addition, the value polyline specifies that edges should be drawn as polylines.

(28 Sep 2010) The value ortho specifies edges should be routed as polylines of axis-aligned segments. Currently, the routing does not handle ports or, in dot, edge labels.

(25 Sep 2012) The value curved specifies edges should be drawn as curved arcs.

splines=none
splines=""
splines=line
splines=false
splines=polyline splines=curved
splines=ortho splines=spline
splines=true

By default, the attribute is unset. How this is interpreted depends on the layout. For dot, the default is to draw edges as splines. For all other layouts, the default is to draw edges as line segments. Note that for these latter layouts, if splines="true", this requires non-overlapping nodes (cf. overlap). If fdp is used for layout and splines="compound", then the edges are drawn to avoid clusters as well as nodes.

start
Parameter used to determine the initial layout of nodes. If unset, the nodes are randomly placed in a unit square with the same seed is always used for the random number generator, so the initial placement is repeatable.
style
Set style information for components of the graph. For cluster subgraphs, if style="filled", the cluster box's background is filled.

If the default style attribute has been set for a component, an individual component can use style="" to revert to the normal default. For example, if the graph has

edge [style="invis"]

making all edges invisible, a specific edge can overrride this via:

a -> b [style=""]

Of course, the component can also explicitly set its style attribute to the desired value.

stylesheet
A URL or pathname specifying an XML style sheet, used in SVG output. Combine with class to style elements using CSS selectors.
tailURL
If tailURL is defined, it is output as part of the tail label of the edge. Also, this value is used near the tail node, overriding any URL value. See limitation.
tail_lp
Position of an edge's tail label, in points. The position indicates the center of the label.
tailclip
If true, the tail of an edge is clipped to the boundary of the tail node; otherwise, the end of the edge goes to the center of the node, or the center of a port, if applicable.
tailhref
Synonym for tailURL.
taillabel
Text label to be placed near tail of edge. See limitation.
tailport
Indicates where on the tail node to attach the tail of the edge. See limitation.
tailtarget
If the edge has a tailURL, this attribute determines which window of the browser is used for the URL. Setting it to "_graphviz" will open a new window if it doesn't already exist, or reuse it if it does. If undefined, the value of the target is used.
tailtooltip
Tooltip annotation attached to the tail of an edge. This is used only if the edge has a tailURL attribute.
target
If the object has a URL, this attribute determines which window of the browser is used for the URL. See W3C documentation.
tooltip
Tooltip annotation attached to the node or edge. If unset, Graphviz will use the object's label if defined. Note that if the label is a record specification or an HTML-like label, the resulting tooltip may be unhelpful. In this case, if tooltips will be generated, the user should set a tooltip attribute explicitly.
truecolor
If set explicitly to true or false, the value determines whether or not internal bitmap rendering relies on a truecolor color model or uses a color palette. If the attribute is unset, truecolor is not used unless there is a shapefile property for some node in the graph. The output model will use the input model when possible.

Use of color palettes results in less memory usage during creation of the bitmaps and smaller output files.

Usually, the only time it is necessary to specify the truecolor model is if the graph uses more than 256 colors. However, if one uses bgcolor=transparent with a color palette, font antialiasing can show up as a fuzzy white area around characters. Using truecolor=true avoids this problem.

vertices
If the input graph defines this attribute, the node is polygonal, and output is dot or xdot, this attribute provides the coordinates of the vertices of the node's polygon, in inches. If the node is an ellipse or circle, the samplepoints attribute affects the output.
viewport
Clipping window on final drawing. Note that this attribute supersedes any size attribute. The width and height of the viewport specify precisely the final size of the output.
voro_margin
Factor to scale up drawing to allow margin for expansion in Voronoi technique. dim' = (1+2*margin)*dim.
weight
Weight of edge. In dot, the heavier the weight, the shorter, straighter and more vertical the edge is. N.B. Weights in dot must be integers. For twopi, a weight of 0 indicates the edge should not be used in constructing a spanning tree from the root. For other layouts, a larger weight encourages the layout to make the edge length closer to that specified by the len attribute.
width
Width of node, in inches. This is taken as the initial, minimum width of the node. If fixedsize is true, this will be the final width of the node. Otherwise, if the node label requires more width to fit, the node's width will be increased to contain the label. Note also that, if the output format is dot, the value given to width will be the final value.

If the node shape is regular, the width and height are made identical. In this case, if either the width or the height is set explicitly, that value is used. In this case, if both the width or the height are set explicitly, the maximum of the two values is used. If neither is set explicitly, the minimum of the two default values is used.

xdotversion
For xdot output, if this attribute is set, this determines the version of xdot used in output. If not set, the attribute will be set to the xdot version used for output.
xlabel
External label for a node or edge. For nodes, the label will be placed outside of the node but near it. For edges, the label will be placed near the center of the edge. This can be useful in dot to avoid the occasional problem when the use of edge labels distorts the layout. For other layouts, the xlabel attribute can be viewed as a synonym for the label attribute.

These labels are added after all nodes and edges have been placed. The labels will be placed so that they do not overlap any node or label. This means it may not be possible to place all of them. To force placing all of them, use the forcelabels attribute.

xlp
Position of an exterior label, in points. The position indicates the center of the label.
z
Deprecated:Use pos attribute, along with dimen and/or dim to specify dimensions.

Provides z coordinate value for 3D layouts and displays. If the graph has dim set to 3 (or more), neato will use a node's z value for the z coordinate of its initial position if its pos attribute is also defined.

Even if no z values are specified in the input, it is necessary to declare a z attribute for nodes, e.g, using node[z=""] in order to get z values on output. Thus, setting dim=3 but not declaring z will cause neato -Tvrml to layout the graph in 3D but project the layout onto the xy-plane for the rendering. If the z attribute is declared, the final rendering will be in 3D.


Attribute Type Descriptions

The following list gives the legal strings corresponding to values of the given types. The syntax for describing legal type strings is a mixture of literal strings, stdio encodings (e.g., %f for a double), and regular expressions. For regular expressions, (...)* indicates 0 or more copies of the expression enclosed in the parentheses, (...)+ indicates 1 or more, and (...)? denotes 0 or 1 copy.
addDouble

A double with an optional prefix '+'.

addPoint

A point with an optional prefix '+'.

arrowType
"normal" "inv"
"dot" "invdot"
"odot" "invodot"
"none" "tee"
"empty" "invempty"
"diamond" "odiamond"
"ediamond" "crow"
"box" "obox"
"open" "halfopen"
"vee"

The examples above show a set of commonly used arrow shapes. There is a grammar of arrow shapes which can be used to describe a collection of 3,111,696 arrow combinations of the 42 variations of the primitive set of 11 arrows. The basic arrows shown above contain most of the primitive shapes (box, crow, diamond, dot, inv, none, normal, tee, vee) plus ones that can be derived from the grammar (odot, invdot, invodot, obox, odiamond) plus some supported as special cases for backward-compatibility (ediamond, open, halfopen, empty, invempty).

clusterMode
"local","global","none"
color
Colors can be specified using one of four formats.
"#%2x%2x%2x"Red-Green-Blue (RGB)
"#%2x%2x%2x%2x"Red-Green-Blue-Alpha (RGBA)
"H[, ]+S[, ]+V"Hue-Saturation-Value (HSV) 0.0 <= H,S,V <= 1.0
stringcolor name
The specification for the RGB and RGBA formats are the format strings used by sscanf to scan the color value. Thus, these values have the form "#RGB" or "#RGBA", where R, G, B, and A each consist of 2 hexadecimal digits, and can be separated by whitespace. HSV colors have the form of 3 numbers between 0 and 1, separated by whitespace or commas.

String-valued color specifications are case-insensitive and interpreted in the context of the current color scheme, as specified by the colorscheme attribute. If this is undefined, the X11 naming scheme will be used. An initial "/" character can be used to override the use of the colorscheme attribute. In particular, a single initial "/" will cause the string to be evaluated using the default X11 naming. If the color value has the form "/ssss/yyyy", the name yyyy is interpreted using the schema ssss. If the color scheme name is empty, i.e., the color has the form "//yyyy", the colorscheme attribute is used. Thus, the forms "yyyy" and "//yyyy" are equivalent.

At present, Graphviz recognizes the default color scheme X11, and the Brewer color schemes (cf. ColorBrewer). Please note that Brewer color schemes are covered by this license.

Examples:
ColorRGBHSVString
White"#ffffff""0.000 0.000 1.000""white"
Black"#000000""0.000 0.000 0.000""black"
Red"#ff0000""0.000 1.000 1.000""red"
Turquoise"#40e0d0""0.482 0.714 0.878""turquoise"
Sienna"#a0522d""0.051 0.718 0.627""sienna"

The string value transparent can be used to indicate no color. This is only available in the output formats ps, svg, fig, vmrl, and the bitmap formats. It can be used whenever a color is needed but is most useful with the bgcolor attribute. Usually, the same effect can be achieved by setting style to invis.

colorList
A colon-separated list of weighted color values: WC(:WC)* where each WC has the form C(;F)? with C a color value and the optional F a floating-point number, 0 ≤ F ≤ 1. The sum of the floating-point numbers in a colorList must sum to at most 1.

NOTE: Gradient fills, described below, are currently only available via CAIRO or SVG rendering.

If the colorList value specifies multiple colors, with no weights, and a filled style is specified, a linear gradient fill is done using the first two colors. If weights are present, a degenerate linear gradient fill is done. This essentially does a fill using two colors, with the weights specifying how much of region is filled with each color. If the style attribute contains the value radial, then a radial gradient fill is done. These fills work with any shape.

For certain shapes, the style attribute can be set to do fills using more than 2 colors. See the style type for more information.

The following table shows some variations of the yellow:blue color list depending on the style and gradientangle attributes.
Gradient anglestyle=filledstyle=filled
fillcolor=yellow;0.3:blue
style=radial
0
45
90
180
270
360

dirType
For an edge T -> H;
"forward" "back"
"both" "none"
That is, a glyph is drawn at the head end of an edge if and only if dirType is "forward" or "both"; a glyph is drawn at the tail end of an edge if and only if dirType is "back" or "both";

For undirected edges T -- H;, one of the nodes, usually the righthand one, is treated as the head for the purpose of interpreting "forward" and "back".

doubleList
A colon-separated list of doubles: "%f(:%f)*" where each %f is a double.
escString
A string allowing escape sequences which are replaced according to the context. For node attributes, the substring "\N" is replaced by the name of the node, and the substring "\G" by the name of the graph. For graph or cluster attributes, the substring "\G" is replaced by the name of the graph or cluster. For edge attributes, the substring "\E" is replaced by the name of the edge, the substring "\G" is replaced by the name of the graph or cluster, and the substrings "\T" and "\H" by the names of the tail and head nodes, respectively. The name of an edge is the string formed from the name of the tail node, the appropriate edge operator ("--" or "->") and the name of the head node. In all cases, the substring "\L" is replaced by the object's label attribute.

In addition, if the associated attribute is label, headlabel or taillabel, the escape sequences "\n", "\l" and "\r" divide the label into lines, centered, left-justified, and right-justified, respectively.

Obviously, one can use "\\" to get a single backslash. A backslash appearing before any character not listed above is ignored.

layerList
list of strings separated by characters from the layersep attribute (by default, colons, tabs or spaces), defining layer names and implicitly numbered 1,2,...
layerRange
specifies a list of layers defined by the layers attribute. It consists of a list of layer intervals separated by any collection of characters from the layerlistsep attribute. Each layer interval is specified as either a layerId or a layerIdslayerId
, where layerId = "all", a decimal integer or a layer name. (An integer i corresponds to layer i, layers being numbered from 1.) The string s consists of 1 or more separator characters specified by the layersep attribute.

Thus, assuming the default values for layersep and layerlistsep, if layers="a:b:c:d:e:f:g:h", the layerRange string layers="a:b,d,f:all" would denote the layers a b d f g h".

lblString
an escString or an HTML label.
outputMode
"breadthfirst","nodesfirst","edgesfirst" These specify the order in which nodes and edges are drawn in concrete output. The default "breadthfirst" is the simplest, but when the graph layout does not avoid edge-node overlap, this mode will sometimes have edges drawn over nodes and sometimes on top of nodes. If the mode "nodesfirst" is chosen, all nodes are drawn first, followed by the edges. This guarantees an edge-node overlap will not be mistaken for an edge ending at a node. On the other hand, usually for aesthetic reasons, it may be desirable that all edges appear beneath nodes, even if the resulting drawing is ambiguous. This can be achieved by choosing "edgesfirst".
packMode
"node", "clust" , "graph" , "array(_flags)?(%d)?"

The modes "node", "clust" or "graph" specify that the components should be packed together tightly, using the specified granularity. A value of "node" causes packing at the node and edge level, with no overlapping of these objects. This produces a layout with the least area, but it also allows interleaving, where a node of one component may lie between two nodes in another component. A value of "graph" does a packing using the bounding box of the component. Thus, there will be a rectangular region around a component free of elements of any other component. A value of "clust" guarantees that top-level clusters are kept intact. What effect a value has also depends on the layout algorithm. For example, neato does not support clusters, so a value of "clust" will have the same effect as the default "node" value.

The mode "array(_flag)?(%d)?" indicates that the components should be packed at the graph level into an array of graphs. By default, the components are in row-major order, with the number of columns roughly the square root of the number of components. If the optional flags contains 'c', then column-major order is used. Finally, if the optional integer suffix is used, this specifies the number of columns for row-major or the number of rows for column-major. Thus, the mode "array_c4" indicates array packing, with 4 rows, starting in the upper left and going down the first column, then down the second column, etc., until all components are used.

If a graph is smaller than the array cell it occupies, it is centered by default. The optional flags may contain 't', 'b', 'l', or 'r', indicating that the graphs should be aligned along the top, bottom, left or right, respectively.

If the optional flags contains 'u', this causes the insertion order of elements in the array to be determined by user-supplied values. Each component can specify its sort value by a non-negative integer using the sortv attribute. Components are inserted in order, starting with the one with the smallest sort value. If no sort value is specified, zero is used.

pagedir
"BL", "BR", "TL", "TR", "RB", "RT", "LB", "LT". These specify the 8 row or column major orders for traversing a rectangular array, the first character corresponding to the major order and the second to the minor order. Thus, for "BL", the major order is from bottom to top, and the minor order is from left to right. This means the bottom row is traversed first, from left to right, then the next row up, from left to right, and so on, until the topmost row is traversed.
point
"%f,%f('!')?" representing the point (x,y). The optional '!' indicates the node position should not change (input-only).

If dim is 3, point may also have the format "%f,%f,%f('!')?" to represent the point (x,y,z).

pointList
A list of points, separated by spaces.
portPos
modifier indicating where on a node an edge should be aimed. It has the form portname(:compass_point)? or compass_point. If the first form is used, the corresponding node must either have record shape with one of its fields having the given portname, or have an HTML-like label, one of whose components has a PORT attribute set to portname.

If a compass point is used, it must have the form "n","ne","e","se","s","sw","w","nw","c","_". This modifies the edge placement to aim for the corresponding compass point on the port or, in the second form where no portname is supplied, on the node itself. The compass point "c" specifies the center of the node or port. The compass point "_" specifies that an appropriate side of the port adjacent to the exterior of the node should be used, if such exists. Otherwise, the center is used. If no compass point is used with a portname, the default value is "_".

This attribute can be attached to an edge using the headport and tailport attributes, or as part of the edge description as in

node1:port1 -> node2:port5:nw;

Note that it is legal to have a portname the same as one of the compass points. In this case, this reference will be resolved to the port. Thus, if node A has a port w, then headport=w will refer to the port and not the compass point. At present, in this case, there is no way to specify that the compass point should be used.

quadType
"normal", "fast", "none".

Using "fast" gives about a 2-4 times overall speedup compared with "normal", though layout quality can suffer a little.

rankType
"same", "min", "source", "max", "sink"
rankdir
"TB", "LR", "BT", "RL", corresponding to directed graphs drawn from top to bottom, from left to right, from bottom to top, and from right to left, respectively.
rect
"%f,%f,%f,%f" The rectangle llx,lly,urx,ury gives the coordinates, in points, of the lower-left corner (llx,lly) and the upper-right corner (urx,ury).
shape
A string specifying the shape of a node. There are three main types of shapes : polygon-based, record-based and user-defined. The record-based shape has largely been superseded and greatly generalized by HTML-like labels. That is, instead of using shape=record, one might consider using shape=none and an HTML-like label.
smoothType
Values are "none", "avg_dist", "graph_dist", "power_dist", "rng", "spring" and "triangle".
splineType
spline ( ';' spline )*
where spline=(endp)? (startp)? point (triple)+
and triple=point point point
and endp="e,%f,%f"
and startp="s,%f,%f"
If a spline has points p1 p2 p3 ... pn, (n = 1 (mod 3)), the points correspond to the control points of a cubic B-spline from p1 to pn. If startp is given, it touches one node of the edge, and the arrowhead goes from p1 to startp. If startp is not given, p1 touches a node. Similarly for pn and endp.
startType
has the syntax (style)?(seed)?.

If style is present, it must be one of the strings "regular", "self", or "random". In the first case, the nodes are placed regularly about a circle. In the second case, an abbreviated version of neato is run to obtain the initial layout. In the last case, the nodes are placed randomly in a unit square.

If seed is present, it specifies a seed for the random number generator. If seed is a positive number, this is used as the seed. If it is anything else, the current time, and possibly the process id, is used to pick a seed, thereby making the choice more random. In this case, the seed value is stored in the graph.

If the value is just "random", a time-based seed is chosen.

Note that input positions, specified by a node's pos attribute, are only used when the style is "random".

style
styleItem ( ',' styleItem )*
where styleItem=name or name'('args')'
and args=name ( ',' name )*
and name can be any string of characters not containing a space, a left or right parenthesis, or a comma. Note that whitespace characters are ignored.

NOTE:The styles tapered, striped and wedged are only available in release 2.30 and later.

At present, the recognized style names are "dashed", "dotted", "solid", "invis" and "bold" for nodes and edges, "tapered" for edges only, and "filled", "striped", "wedged", "diagonals" and "rounded" for nodes only. The styles "filled", "striped" and "rounded" are recognized for clusters. The style "radial" is recognized for nodes, clusters and graphs, and indicates a radial-style gradient fill if applicable.

The style "striped" causes the fill to be done as a set of vertical stripes. The colors are specified via a colorList, the colors drawn from left to right in list order. Optional color weights can be specified to indicate the proportional widths of the bars. If the sum of the weights is less than 1, the remainder is divided evenly among the colors with no weight. Note: The style "striped" is only supported with clusters and rectangularly-shaped nodes.

The style "wedged" causes the fill to be done as a set of wedges. The colors are specified via a colorList, with the colors drawn counter-clockwise starting at angle 0. Optional color weights are interpreted analogously to the striped case described above. Note: The style "wedged" is allowed only for elliptically-shaped nodes.

The following tables illustrate some of the effects of the style settings. Examples of tapered line styles are given below. Examples of linear and radial gradient fill can be seen under colorList.

Basic style settings for nodes
solid dashed dotted
bold rounded diagonals
filled striped wedged

Basic style settings for edges
solid dashed
dotted bold

Basic style settings for clusters
solid dashed dotted bold
rounded filled striped

The effect of style=tapered depends on the penwidth, dir, arrowhead and arrowtail attributes. The edge starts with width penwidth and tapers to width 1, in points. The dir attribute determines whether the tapering goes from tail to head (dir=forward), from head to tail (dir=forward), from the middle to both the head and tail (dir=both), or no tapering at all (dir=none). If the dir is not explicitly set, the default for the graph type is used (see dir). Arrowheads and arrowtails are also drawn, based on the value of dir; to avoid this, set arrowhead and/or arrowtail to "none".

Note: At present, the tapered style only allows a simple filled polygon. Additional styles such as dotted or dashed, or multiple colors supplied via a colorList are ignored.

The following table illustrates the style=tapered with penwidth=7 and arrowtail=none.
dir \ arrowheadnormalnone
forward
back
both
none

Additional styles are available in device-dependent form. Style lists are passed to device drivers, which can use this to generate appropriate output.

The style attribute affects the basic appearance of nodes, edges and graphs, but has no effect on any text used in labels. For this, use the fontname, fontsize and fontcolor attributes, or the <FONT>, <B>, <I>, etc. elements in HTML-like labels.

The setlinewidth style value can be used for more control over the width of node borders and edges than is allowed by bold. This style value takes an argument, specifying the width of the line in points. For example, style="bold" is equivalent to style="setlinewidth(2)". The use of setlinewidth is deprecated; one should use the penwidth attribute instead.

viewPort
"%lf,%lf,%lf,%lf,%lf" or "%lf,%lf,%lf,'%s'"

The viewPort W,H,Z,x,y or W,H,Z,N specifies a viewport for the final image. The pair (W,H) gives the dimensions (width and height) of the final image, in points. The optional Z is the zoom factor, i.e., the image in the original layout will be W/Z by H/Z points in size. By default, Z is 1. The optional last part is either a pair (x,y) giving a position in the original layout of the graph, in points, of the center of the viewport, or the name N of a node whose center should used as the focus. By default, the focus is the center of the graph bounding box, i.e., (bbx/2,bby/2), where "bbx,bby" is the value of the bounding box attribute bb.

Sample values: 50,50,.5,'2.8 BSD' or 100,100,2,450,300. The first will take the 100x100 point square centered on the node 2.8 BSD and scale it down by 0.5, yielding a 50x50 point final image.



Home ⌂Doc Index ◂Up ▴